今天是温州的大日子!
76年前的今天
1949年5月7日
温州和平解放

这是一份76年前的旧报纸
也是一个温州人民永远难忘的日子
经过两次谈判
1949年5月7日凌晨
国民党军第二〇〇师师长叶芳率部起义
由浙南游击纵队接管温州城
温州实现和平解放
这场胜利果实来之不易
过程胜似电影情节
一起走近温州城解放背后的故事
1945年,抗日战争胜利后,饱受战火摧残的中国人民渴望和平、民主、富强。
1948年9月到1949年1月,人民解放军连续发动辽沈、淮海、平津三大战役,基本歼灭国民党军主力,解放东北、华北及长江以北的华东地区,兵临长江。
1949年元旦,毛泽东发表题为《将革命进行到底》的新年献词。
在全国革命浪潮波澜壮阔的大背景下,浙南革命势头也日益高涨。

1949年4月22日中共浙南地委发表《迎接解放军渡江南进宣言》
1949年3月9日至4月13日,中共浙南地委在瑞安桂峰乡坳后村召开第十次扩大会议,研究和部署全面解放浙南事宜,决定发起解放浙南战役,首先解放温州城,然后四面开花,解放浙南全境。

《浙南解放进行曲》
会上要求做好两手准备:一方面做好军事进攻温州的各项工作,掌握战争的主动权,这是胜利的最可靠保证;另一方面,争取叶芳起义,和平解放温州,避免人民的生命财产遭受损失。

浙南人民武装主要战斗示意图
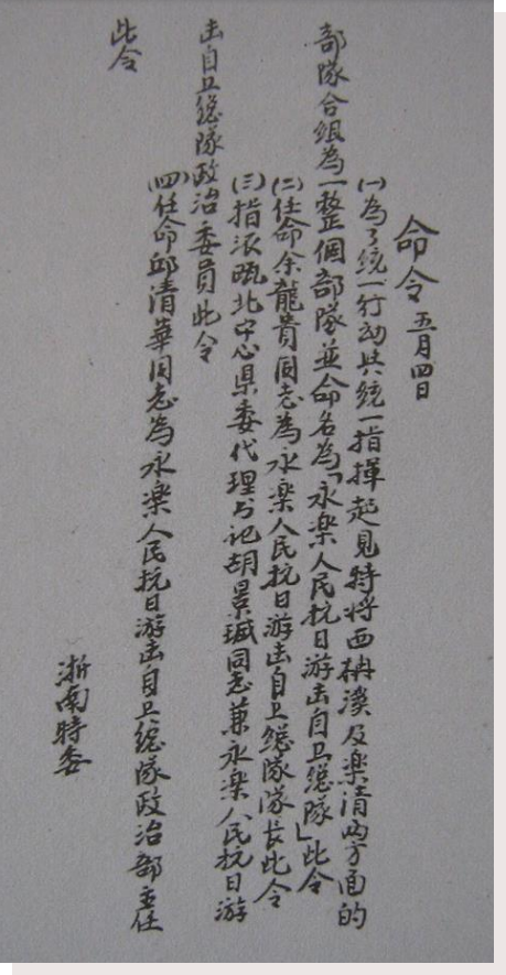
4月30日,中共浙南地委和浙南游击纵队部率领纵队主力到达永嘉周岙村(今属瓯海区),准备解放温州城。

中共浙南特委命令成立“永乐总队”
中共浙南地委和浙南游击纵队代表同国民党守军第二〇〇师师长叶芳的代表,于1949年5月在郭溪岭头的历史古刹景德寺,先后两次举行温州城和平解放的谈判。


叶芳致浙南游击纵队代表的信
5月1日,浙南国共双方就温州和平解放开展第一次谈判。这是一场互探虚实、唇枪舌剑的和平谈判。
当时,浙南游击纵队派出的全权代表为胡景瑊、曾绍文、郑梅欣、程美兴,叶芳的谈判代表为卓力文、王思本、金天然、吴昭征。会议由胡景瑊主持。
谈判前期颇为顺利,双方约定第二〇〇师于5月6日夜间起义,协同纵队接管温州城。但后期,却因“莲花心在谁手里”这一问题,让整个谈判出现了紧张的僵持。
谈判即将结束时,叶芳方代表表示:莲花心阵地必须由叶芳所在的第二〇〇师控制;另外,协议必须由叶芳过目才能生效。莲花心在景山山顶,是整个城市的制高点,火力控制温州旧城的三分之二以上,又掐住纵队进城路线的咽喉。按照防区划分,如果由叶芳控制,我方将处在起义部队火力夹击的位置上。
当时大约是下半夜三点多钟,也就是5月2日凌晨3点,听了叶芳方代表的话后,全场没有一点声息,只有煤气灯发出的嘶嘶声。当时,胡景瑊缓缓地站了起来,态度温和但很坚决地说:“我们一向教育部队,前面有敌人,必须坚决、彻底、干净、全部地歼灭之,在我们进军的中途,就可能在莲花心引起误会,造成严重的后果……”
对方代表也作了一些解释,但他们无权改变叶芳的决定。程美兴沉不住气了,霍地站了起来,厉声说:“如果不让出莲花心,那就只有打了!”
大家都紧张得透不过气来。胡景瑊宣布暂时休会,代表们离开会场,转为个别交换意见。
好在,重新开会时,对方代表表示一定能说服叶芳撤出莲花心阵地。于是,双方于5月2日凌晨5时许签订了六条十款《关于叶芳将军率部反正起义之协定》,并约定5月4日再进行一次会谈。
其实,在这紧张而漫长的一夜中,还有两件事很久不为外人所知。
第一件,谈判时,龙跃曾秘密地来到了谈判点,隔着板壁倾听会议的动静。司令员到访,一方面表示他关心这个事情,另一方面,预先知道谈判结果,他才心中有数,好安排部署部队。
第二件,起义协定签字后,曾绍文提出,我们是全权代表,签了字,纵队对协定的实现负全责,但叶将军的四位代表未被赋予全权,如果他不同意协议,怎么办?几个月来的心血和冒险,不是都白费了吗?叶芳代表原先似乎没有想到这一点,都怔住了。曾绍文拿出一个协定附件草案,只有两条,其中关键的是下面这一句:如叶芳将军拒绝本协定,或在原则上修改本协定,四位代表即以完全负责的态度自行采取积极行动,保证本协定(除有关叶芳将军本人之各项及无法说服其起义的部队外)之全部实现。直白地说,就是把叶芳扣起来,起义照旧。
5月4日,双方再次举行会谈,并最终达成一致协议:叶芳任浙南游击纵队副司令员,叶部下属两个团分别改编为浙南游击纵队第七、第八支队。协议对军事任务的确定、防线划分、移交阵地和接防办法、进城方式和时间、联络讯号、接收和管理办法等,双方都作了详细明确的规定。

浙南游击纵队代表与叶芳的代表达成和平起义的协议书
6日下午,叶芳在信河街住宅召集所属部队营以上干部开会,宣布起义,并且规定:当晚20时全城戒严,起义部队集中于驻地、防地,严守军纪;起义单位门口悬挂红灯,官兵一律臂佩白布;除起义单位外,一律不准通电话、电报;严密封锁港口;保护物资,维持正常生产和社会秩序,电厂通宵照明。

叶芳率部起义宣言
同日傍晚,浙南游击纵队集中在周岙的一个大草坪上,举行誓师大会。龙跃下达向温州进军的命令。数千人马加上随军干部与民兵,列成战斗队形挺进温州。当晚,浙南游击纵队接收了温州城外的莲花心、翠微山、松台山等制高点。
6日深夜,部队从太平岭出发,分三路进入市区:一路由西郊入城;一路由九山入城;一路由三角门、小南门入城。浙南游击纵队和叶芳部队按照协议分工,各自执行任务,进展顺利。不属于起义部队的国民党军事机关和零星敌军大都闻风丧胆,向浙南游击纵队缴械投降。唯驻在麻行僧街的国民党盐税警独立一中队向浙南游击纵队开枪,当即被纵队包围歼灭。浙保第四团驻温州的一个连企图抵抗,被起义部队缴了械,团长胡梦祥被俘。城内国民党各重要机关及电厂、电讯、港口码头等均被浙南游击纵队占领。
这个大事件中还有一个小插曲:进城时,所有的兵营都挂了红灯,但唯独叶芳自己的司令部忘了挂红灯。结果二纵队一支部队到了叶芳门口,一看怎么没有红灯,就冲了进去。叶芳大吃一惊,说共产党不讲义气,就开枪抵抗。好在有人大喊“大家不要开火,这里是叶芳副司令员的驻地”,才避免事端。
7日凌晨,浙南游击纵队3发照明弹腾空而起,宣告温州全城解放。绝大部分居民不知道温州市已经发生了划时代的巨变,在安然的睡眠中度过了解放的时刻。等到人们发现满街都是穿蓝灰色军服,戴八角帽的浙南游击纵队战士时,全城沸腾起来了,群众奔走相告,临街商店住户纷纷挂起红旗庆祝。



温州市各界群众热烈庆祝温州和平解放
炮火无情,温州和平解放意义重大。那时候的温州,全部都是木头结构的房子,若成为战场,不说全部烧光,至少会烧掉二分之一或者三分之一,温州城区18万人要遭殃。
从此,温州结束了国民党22年的反动统治,回到了人民手中。

《浙瓯日报》《浙南周报》刊登温州和平解放的消息
温州城区解放的消息,像一声春雷震撼浙南大地,各县残敌土崩瓦解。浙南游击纵队、各县武装部队和广大民兵,以秋风扫落叶之势解放浙南全境。

至此,温州沿海岛屿全部解放。
铭记历史
吾辈自强
来源:温州发布
原标题:今天是温州的大日子!
本文转自:温州新闻网 66wz.com
相关新闻
为你推荐
-

共建“资本市场支持民营经济高质量发展”新标杆推进会召开
要闻05-08
-

一个千亿级项目带来的“裂变”红利
社会05-08
-

市域铁路S3线主线建设按下“加速键”
社会05-08
-

“五一”文明游,细节仍需“补课”
社会05-08
-

2025年优秀运动员本科保送拟推荐名单发布 温州14名运动员上榜
科教文体05-08
-

“戏从温州来”2025南戏经典文化周将走进杭州
科教文体05-08
-

一个1700公里外的求助电话 一次从救命到解忧的暖心救助
社会05-08
-

“温州大黄鱼”地理标志证明商标授权企业增至7家
社会05-08
-

邓紫棋演唱会本周末开唱!快来get出行攻略吧!
社会05-08
-

温州队1:1战平广东铭途 暂居南区积分榜第三
科教文体05-08



